In this article, we will see the analysis of Single Phase Half Wave Controlled Rectifier with Resistive (R) Load as shown in Figure 1. Vs is supply and ‘is‘ is the source current. VT and ‘iT‘ is the SCR voltage and current respectively. Vo and ‘io‘ is the load voltage and current respectively.
Vs = Vmsin(ωt)

Step-1: Write KVL in the given circuit
vs − vT − vo = 0
vab = vs = vT + vo
vab = vs = Vmsin(ωt)
vba = − vab = − Vmsin(ωt)
Step-2: Device working status
In the positive half cycle, SCR is forward biased and is turned ON at ωt = α by giving a firing pulse (triggering pulse). The angle α is called delay angle or firing angle. It is measured from the instant the SCR has become forward biased.
At ωt = π, the current through the SCR falls to zero i.e. below zero and simultaneously a reverse voltage appears across SCR and it turns OFF. Since the line voltage is used for commutation, it is also known as line commutation converter.


1). 0 < ωt < α
SCR is in forward blocking mode and SCR is OFF.
io = is = iT = 0 Amp
vo = 0 V
vT = vab = Vmsin(ωt)
2). α < ωt < π
SCR is in forward conduction mode and SCR is ON.
vT = 0 V
io = is = iT = (Vmsin(ωt))/R
vo = vab = Vmsin(ωt)
3). π < ωt < 2π
SCR is in forward blocking mode and SCR is OFF.
io = is = iT = 0 Amp
vo = 0 V
vT = vab = Vmsin(ωt)
4). 2π + α < ωt < 3π
SCR is in forward conduction mode and SCR is ON.
vT = 0 V
io = is = iT = (Vmsin(ωt))/R
vo = vab = Vmsin(ωt)
The waveforms for load voltage(vo), and current(io), SCR voltage(vT) is shown in figure 2. The waveforms of supply current and SCR current is same as load current.
Note: For a resistive load, vo and io waveform will be same in nature except in magnitude.
Step-3:
1). Firing angle (α) = α
2). Extinction angle (β) = π
3). Conduction angle (γ) = β − α = π − α
4). Conduction time (tc) = γ/ω = (π − α)/ω
5). Circuit turn off time (tckt-off) = (2π − π)/ω = π/ω
6). Peak Inverse voltage (PIV) = Vm
Step-4:
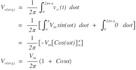
Average Values
The average output voltage Vo(avg) across load R is given by

The average output current Io(avg) through the load R is given by

RMS values



Communication of thyristor BHI send kri proper wave fome Ka sath