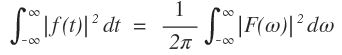
In this article, we will see Parseval’s theorem proof. Before we go any further, first learn What is Parseval’s theorem?
It states that the sum (or integral) of the square of a function is equal to the sum (or integral) of the square of its transform. Parseval’s theorem is also known as Rayleigh’s energy theorem or Rayleigh’s Identity or simply energy theorem.

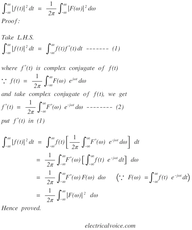
Parseval’s Theorem Proof

