Conjugate symmetric Signal is a signal which satisfies the relation f(t) = f*(−t). It is also known as even conjugate signal.
Example-1
f(t) = ejt
f(−t) = ej(−t)
f*(−t) = e(−j)(−t) = ejt = f(t)
Hence, f(t) = f*(−t)
Example-2
f(t) = ejωot
f(−t) = ejωo(−t)
f*(−t) = e(−j)ωo(−t) = ejωot = f(t)
Hence, f(t) = f*(−t)
As we know that f(t) = ejωot = cosωot + j sinωot
Real part, fr(t) = cosωot
Imaginary part, fi(t) = sinωot
fr(−t) = cosωo(−t) = cosωot = fr(t)
fi(−t) = sinωo(−t) = −sinωot = −fi(t)
From above equations, we can conclude that the real part is always even signal and the imaginary part is always odd signal for a conjugate symmetric signal.
Conjugate anti-symmetric Signal is a signal which satisfies the relation f(t) = −f*(−t). It is also known as odd conjugate signal.
Example-1
f(t) = jejt
f(−t) = jej(−t)
f*(−t) = (−j)e(−j)(−t) = −jejt = −f(t)
Hence, f(t) = −f*(−t)
Example-2
f(t) = jejωot
f(−t) = jejωo(−t)
f*(−t) = (−j)e(−j)ωo(−t) = −jejωot = −f(t)
Hence, f(t) = −f*(−t)
As we know that f(t) = jejωot = j[cosωot + j sinωot]
Real part, fr(t) = −sinωot
Imaginary part, fi(t) = cosωot
fr(−t) = −sinωo(−t) = sinωot = −fr(t)
fi(−t) = cosωo(−t) = cosωot = fi(t)
From above equations, we can conclude that the real part is always odd signal and the imaginary part is always even signal for a conjugate anti-symmetric signal.
Properties
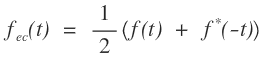
1. The conjugate symmetric part of a signal f(t) is given as

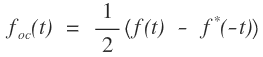
2. The conjugate anti-symmetric part of a signal f(t) is given as

Therefore, f(t) = fec(t) + foc(t)
3. f(t) + f*(−t) → It always represents conjugate symmetric signal.
Proof: Let x(t) = f(t) + f*(−t)
x(−t) = f(−t) + f*(t)
x*(−t) = [f(−t) + f*(t)]* = f*(−t) + f(t)
Therefore, x(t) = x*(−t)
Hence x(t) is conjugate symmetric signal.
4. f(t) − f*(−t) → It always represents conjugate anti-symmetric signal.
Proof: Let x(t) = f(t) − f*(−t)
x(−t) = f(−t) − f*(t)
x*(−t) = [f(−t) − f*(t)]* = f*(−t) − f(t)
x*(−t) = −[f(t) − f*(−t)] = −x(t)
Therefore, x(t) = −x*(−t)
Hence x(t) is conjugate anti-symmetric signal.
