Write a MATLAB Program to determine the State Transition Matrix for

Program
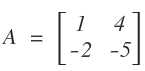
%Program to determine the state transition matrix %provided by electricalvoice.com clc clear all %calculation of state transition matrix using inverse technique syst a=[1 4;-2 -5] phi=exmp(a*t)
You can get MATLAB assignment help at AssignmentCore from a team of homework experts.