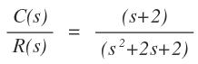
Q. Determine the time response for the following transfer function using MATLAB.

Answer. First of all simplifying numerator(num) and denominator(den) of the transfer function respectively as
num = s+2
den = s2+2s+2
Program
% program for Determining Time response of Transfer function % provided by electricalvoice.com clc clear all num=[1 2]; den=[1 2 2]; sys5=tf(num,den) load ltiexamples ltiview
