A system is an interconnection/arrangement of different physical components which maps a set of inputs to a set of outputs to achieve certain objectives.
Contents
show

How to express the system?

There are a number of ways to express/describe systems. Systems can be described by
1. Input-output relationship
example,
y(t) = t x(t)
2. Differential equation
example,
![]()
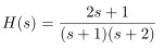
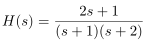
3. Transfer function
example,
![]()
4. Impulse response of the LTI system
5. Physical layout such as network
example,

Types of system
1. Linear and Non-linear systems
2. Time invariant and time-variant systems
3. Causal and Non-causal systems
4. Invertible and Non-invertible systems
