Biot Savart Law is used to determine the strength of the magnetic field at any point due to a current-carrying conductor. This law is given by two physicist Jean-Baptiste Biot and Felix Savart. Hence this law is known as Biot Savart Law. This law is of fundamental importance and can be verified experimentally.

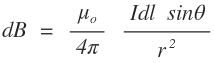
Consider a very small element PQ of length dl of a conductor carrying current I. The strength of magnetic field dB due to this small current element at a point N at a distance r from the element is found to be depending upon quantities as under.
(1) dB ∝ dl
(2) dB ∝ I
(3) dB ∝ sinθ
where, θ is the angle between
and![]()
(4)![]()
Note: Current element is a vector quantity whose magnitude is equal to the product of current and length of the small element having the direction of the flow of current.
combining (1), (2), (3) and (4), we get

where μo = absolute permeability
Therefore, we have

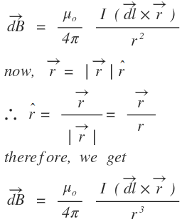
Biot savart law in vector form
If we consider the length of element as
, distance of N as displacement vector
and unit vector along MN as
then

The resultant magnetic field at point N due to the whole conductor can be obtained by integrating the above equation over the whole conductor i.e.

The direction of
is the same as the direction given by
. The direction of
can be determined by right hand thumb rule for finding the direction of the vector product of vectors. Here, at point N, the direction of
is perpendicular to the plane containing
and
and is directed inside the plane of paper represented by the symbol ⊗ as shown in figure 1.
