Magnetic flux density is defined as the number of magnetic lines of force passing normally through a unit area of a substance. It is denoted by B. The S.I. unit of magnetic flux density is Tesla (T). It is a vector quantity. The CGS unit of magnetic flux density is gauss (G). Consider a surface having area, A in the magnetic field having magnetic flux density,
as shown in figure 1.

Generally, magnetic flux is given by
![]()
where,
= magnetic flux
B = magnetic flux density magnitude
A = area of surface
θ = angle between
and ![]()
Note: The direction of the vector
is always normal to the surface.
then B is given by

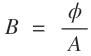
If Φ is the magnetic flux passing normally through a substance of area A then the magnetic flux density B is given by

since θ = 0°
