Owen’s bridge is an AC bridge used for measurement of inductance of a coil in terms of capacitance. It is used for low Q-coils. Owen’s bridge is shown in figure 1 under balance condition.

From figure 1, there are four arms as
arm 1 = ab
arm 2 = ad
arm 3 = bc
arm 4 = dc
where
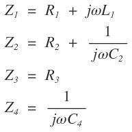
L1 is an unknown self-inductance of resistance R1
R2 is a variable non-inductive resistance
R3 is a fixed non-inductive resistance
C2 is a variable standard capacitor
C4 is a fixed standard capacitor
Therefore, the impedances of arms 1, 2, 3 and 4 are respectively,

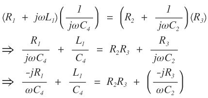
At balance condition,
Z1Z4 = Z2Z3

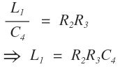
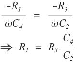
On comparing real and imaginary part both side, we have


Phasor Diagram of Owen’s Bridge

Advantages of Owen’s Bridge
1. The equations obtained are simple.
2. These equations do not contain any frequency part.
3. Wide range of inductance can be measured with this bridge.
Disadvantages of Owen’s Bridge
1. The variable capacitor, C2 used is costly and has less accuracy.
2. The variable capacitor, C2 value becomes large while measuring inductance for a high Q-coils.
 
					
