Q. The transfer function of a system is given below

Determines the poles and zeroes and show the pole-zero configuration in s-plane using MATLAB.
First of all simplifying numerator(p1) and denominator(q1) of the transfer function respectively as
p1=8s2+56s+96
q1=s4+4s3+9s2+10s
Program
% program for finding poles and zeroes of a transfer function % provided by electricalvoice.com clc clear all p1=[8 56 96]; q1=[1 4 9 10 0]; sys4=tf(p1,q1) pzmap(sys4)
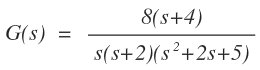
Q. The transfer function of a system is given below

Determines the poles and zeroes and show the pole-zero configuration in s-plane using MATLAB.
First of all simplifying numerator(p1) and denominator(q1) of the transfer function respectively as
p1=8s+32
q1=s4+4s3+9s2+10s
Program
% program for finding poles and zeroes of a transfer function % provided by electricalvoice.com clc clear all p1=[8 32]; q1=[1 4 9 10 0]; sys4=tf(p1,q1) pzmap(sys4)
