Frequency Modulation
It is the process in which the frequency of the carrier signal is varied by the modulating signal while the amplitude remains same. It is different from Amplitude modulation as there is amplitude variation.

Let carrier wave be
ec = A Sin (ωct + φ) = A Sin (fct + φ)
fc = carrier wave frequency
The modulated carrier wave frequency is given by
fcm = fc (1 + kEs Cos ωst)
where, es = Es Cos ωst is the input signal
The maximum value of modulated carrier wave frequency is given by
fcm/max = fc + k fc Es
where δ = k fc Es = maximum deviation
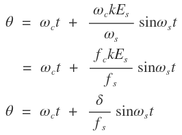
Let ec = A Sinθ
where, θ = ωct and taking φ = 0
For frequency modulated wave, θ is given by
θ = ∫ ω dt = ∫ ωc {1 + kEs Cos ωst} dt

Therefore, the modulated carrier frequency in given by
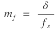
ecm = A Sin (ωct + mf Sin ωst)
where, mf = modulation index

Excercise
Q. What is the frequency deviation?
Answer. The change or shift above or below the mean or centre frequency is called the frequency deviation.
Q. What is carrier swing?
Answer. The total variation in frequency from minimum to maximum value is called the carrier swing and it is twice the frequency deviation i.e CS = 2Δf.
Q. What is FM index?
Answer. The ratio of frequency deviation to modulation frequency is called the FM Index.
Q. What is deviation ratio?
Answer. The ratio of maximum permitted frequency deviation to the maximum permitted audio frequency is known as the deviation ratio.
Q. What is percent modulation in FM
Answer. The percent modulation when applied to FM, has slightly different meaning than when applied to amplitude modulation. In FM it is given as the ratio of actual frequency deviation to maximum permitted frequency deviation and multiplied by 100.
Q. What is wideband FM?
Answer. When the value of modulation index mf is quite large, then in FM a large number of sidebands are produced and help the bandwidth of FM is sufficiently large. This type of FM system is known as wideband FM.
Q. What are the disadvantages of frequency modulation?
Answer. A much wider channel typically 200 kHz is required in FM against only in 10 kHz in Amplitude Modulation broadcast. This is serious drawback of FM. FM transmitting and receiving equipment particularly used for modulation and demodulation tend to be more Complex and hence more costly.
