Amplitude Modulation(AM)
The process of varying amplitude of the high-frequency or carrier wave in accordance with the intelligence (code, voice or music) to be transmitted, keeping the frequency and phase of the carrier wave unchanged, is known as the amplitude modulation.
Modulating Signal
The information bearing signal is called modulating signal.
Modulated signal
The signal resulting from a process of modulation is known as a modulated signal.
In amplitude modulation, the amplitude of the carrier wave is changed in accordance with the instantaneous value of modulating signal. The Information is contained in the envelope.

Let Carrier signal, ec(t) = EcSin(ωct) = EcSin(2πfct)
signal, es(t) = = EsSin(ωst) = EsSin(2πfst)
The carrier wave after modulation
ecm =[ Ec + Es Sin(ωst) ] Sin(ωct)
The Amplitude of carrier wave after modulation is given by
Ecm = Ec + Es Sin(ωst)
Modulation index, m = ![]()
Therefore,
ecm =[ Ec + mEc Sin(ωst) ] Sin(ωct)
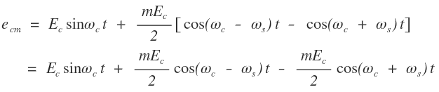
= Ec Sin(ωct) + mEc Sin(ωst) Sin(ωct)

The power associated with modulated carrier wave is given by

Advantages
- Simple modulator circuits.
- Cheap: a low-quality form of modulation used for commercial broadcasting of audio & video signal.
- It can be demodulated using a circuit consisting of very few components.
Disadvantages
- Poor performance due to noise.
- Inefficient use of transmitter power.
- It is not efficient in terms of its use of bandwidth, requiring a bandwidth equal to twice that of the highest audio frequency.
Application
- Air band radio
- Broadcast transmissions
- Quadrature amplitude modulation
- Amplitude modulation in the form of single sideband is still used for HF radio links.
Excercise
Q. What is Modulation?
Answer. The term modulation means ‘to change’ or ‘to modify’. Modulation is the process of transmission of the information signal (low-frequency audio signal) using a high-frequency carrier signal. Modulation is the basic requirement for transmitting the message signal through free space.
Q. What is modulation index in amplitude modulation?
Answer. The extent to which the amplitude of a carrier wave is varied by the modulating signal is called modulation index and is defined as the ratio of change in amplitude of the carrier wave to the altitude of the normal carrier wave.
Q. Why the reception in case of amplitude modulation is usually noisy?
Answer. In case of amplitude modulation, the reception is usually noisy because radio receiver cannot distinguish between the amplitude variations that represent noise and those contain the desired signal.
Q. What is the bandwidth of amplitude modulation wave?
Answer. The difference between these two extreme frequencies is equal to the bandwidth of the amplitude modulation wave.
Bandwidth, BW = (ωc + ωm) − (ωc − ωm) = 2ωm
image reference: en.wikipedia.com

Nice