Energy signal is a signal whose energy is finite and power is zero whereas Power signal is a signal whose power is finite and energy is infinite.
For the energy signal, we have
0 < E < ∞ and P = 0
where E is the energy of the signal and P is the power of the signal.
For the power signal, we have
0 < P < ∞ and E = ∞
Note:
1. The signal for which both power and energy tends to infinite is neither energy signal nor power signal i.e.
E = ∞ and P = ∞
2. Energy signal and power signals are mutually exclusive.
3. For some signals energy is finite and for some signals power is finite but no signal posses the finite power and finite energy.
4. For every energy signal, its amplitude tends to zero as |t|→∞
Examples
1. Consider the following signal.
This signal has infinite energy and power i.e.
E = ∞ and P = ∞
Hence, it is neither an energy signal nor a power signal.
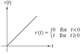
2. Consider the ramp signal.

This signal has infinite energy and power i.e.
E = ∞ and P = ∞
Hence, it is neither an energy signal nor a power signal.
3. Consider the step signal.

This signal has infinite energy and finite power i.e.
E = ∞ and P < ∞
Hence, it is a power signal.
4. Consider the following signal.

This signal has finite energy and zero power i.e.
E < ∞ and P = 0
Hence, it is an energy signal.
5. Consider the following signal (A=finite value)

This signal has infinite energy and finite power i.e.
E = ∞ and P < ∞
Hence, it is a power signal.
6. Consider the following periodic signal.

This signal has infinite energy and finite power i.e.
E = ∞ and P < ∞
Hence, it is a power signal.
Conclusions
1. Every periodic signal is a power signal.
2. Every power signal need not be periodic.
3. Every energy signal is non-periodic.
4. Every non-periodic signal need not be an energy signal.
