Tellegen’s Theorem
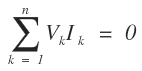
This theorem states that algebraic sum of the power’s in any circuit (linear, non-linear, unidirectional, bi-directional, time-invariant and time-variant elements) at any instant is zero. It was published in 1952 by Bernard Tellegen.

For verification of Tellegen’s theorem, KVL and KCL equations are used.
Tellegen’s theorem works based on the principle of the law of conservation of energy.
Tellegen’s theorem is independent of the network elements.
The Tellegen theorem is applicable to a multitude of network systems.
Applications of Tellegen’s Theorem
1. It is used in the digital signal processing system for designing of filters.
2. It is also used in complex operation systems for regulating the stability.
3. It is mostly used in the chemical and biological system and for finding the dynamic behaviour of the physical network.
4. This theorem is used in chemical plants and oil industries to determine the stability of any complex systems.
5. In topology and structure of reaction network analysis.
 
					

Thanks for this notes.
good. also provide numericals.
Where limitations