Resistance is generally a force that opposes the motion of a body and slows down the performance of the body. In the field of electrical and electronics, the resistance is the opposition offered by the material to the flow of current through it. The S.I. unit of resistance is ohm (Ω). The effect of temperature on resistance is different in a conductor, semiconductor and insulator.
Effect of temperature on resistance of conductor
The resistances of conductors vary depending on many factors such as the material of the conductor made up of, the size of the conductor, the ambient condition, etc. Temperature is also an important factor that changes the resistance of a conductor.
The flow of current through a conductor is nothing but the movement of the electrons of the conductor. The movement of electrons is influenced by the electric field induced inside the conductor. This induced electric field develops an electric potential across the conductor that initiates the movement of electrons towards the opposite terminal.
The temperature rise creates a collision among the moving electrons of the conductor hence the net movement of the electrons becomes zero which means there is no flow of current in the conductor and said to be high resistance. The temperature variation has different effects on different types of conductors.
The effect of temperature on the resistance of the conductor is directly proportional to each other. The increase in temperature of the conductor increases its resistance and makes it difficult to flow current through it. As discussed above, the movement of free electrons creates the flow of current in the conductor.
The moving free electrons of the metal conductors collide with the other electrons of the metal and generate heat. With the generation of more heat, more collisions take place. This creates a hindrance to further movement of the electrons of the conductor and induces more resistance. Hence the increase in the temperature of the conductor increases resistance in the conductor.
Effect of temperature on resistance of semiconductor
But in the case of semiconductor, the conduction occurs when the electrons from the valence band jump to the conduction band. The forbidden energy gap between the valence band and the conduction band in a semiconductor is so small. On the application of a little energy, the outermost or the loosely packed electrons of the valence band can easily reach the conduction band.
By applying temperature to the semiconductor material, the bond strength between the atoms can be broken and this makes the electrons jump from the valence band to the conduction band and the conductivity of the semiconductor increases. Since the conductivity of a body is inversely proportional to its resistance, hence with the increase in temperature, the resistance of the semiconductor material decreases.
Effect of temperature on resistance of insulator
The properties of insulators describe that the electrons of the insulators are closely bound to its nucleus and it is very hard to break the bond. Moreover, the forbidden energy gap between the valence band and the conduction band is huge. So it is almost impossible to initiate conduction in an insulator in general condition.
On the increasing temperature, the outermost electrons in the valence band vibrate and this vibration loosens the bond between the electrons and the nucleus. It provides the possibility of conduction when the valence band electrons reach the conduction band.
The increase in temperature decreases the forbidden energy gap to some extent and starts conduction. Hence, at some temperature, insulators behave as the conductor with the increase in temperature, the conductivity of the insulators increases and resistance decreases.

There are also some materials having zero resistance, which are called superconductors. The temperature at which the materials obtain zero resistance is called the critical temperature of the conductor.
The resistivity of a material is the measure of the resistance of that material of unit cross-sectional area and unit length. The S.I. unit of resistivity is ohm-metre. The resistivity of a material is also termed as the specific resistance of the material. The term resistivity arises from the following concept:
\begin{equation} \label{eq:poly}
R \propto length\; of\; the\; conductor\; (l)
\end{equation}
\begin{equation} \label{eq:poly}
R \propto \frac{1}{cross-sectional\; area\; of\; the\; conductor\; (A)}
\end{equation}
From the relation (1) and (2),
$R \propto \frac{l}{A}$
$\Rightarrow R =\rho \frac{l}{A}$
The proportionality constant (ρ) of the final expression of the resistance is called the resistivity of the material. The resistivity depends on the material of the body, the shape, and the size of the body, the temperature of the body, etc.
Generally, the resistivity of the conductor is very small. But as there is an increase in temperature, the resistivity of the conductor increases. The insulator contains a very high resistivity initially. But, with the increase in temperature, the resistivity of the insulator decreases gradually. The resistivity of the semiconductor material is also inversely proportional to the temperature of the body.
The resistivity of a metal increases linearly with the increase in temperature with a slope of $m=\frac{\rho_{t_2}- \rho_{t_1}}{t_2 – t_1}$, where ρt2 is the resistivity of the body at t2 ℃ temperature and ρt1 is the resistivity of the body at temperature t1 ℃, and t2 > t1. There are also some materials that have negligible effects on changing temperature.
To study the change in resistance due to the temperature factor, the temperature coefficient of the resistance is studied. The temperature coefficient is defined as the change in resistance of a body with the variation of per degree centigrade temperature. Concerning the variation of the resistance with temperature, the temperature coefficient is termed as positive temperature coefficient and negative temperature coefficient.
When the relation is directly proportional, i.e, the resistance increases with the increase in temperature, it is called the positive temperature coefficient. If the resistance of the body decreases with the increase in temperature or vice-versa, the temperature coefficient is called the negative temperature coefficient.
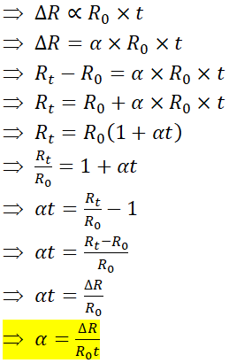
Considering the resistance of the body at 0℃ as Ro Ω and Rt Ω at t℃.
Therefore, the change in resistance becomes
∆R = Rt – Ro …………….. (3)
The change in resistance depends on the nature of the conductor used and from the relation given in equation (3),
∆R ∝ Ro and ∆R ∝ t℃

Here, α is called the temperature coefficient of the resistance.
Author
Sunmoni Gohain
NIT Silchar
