The Carey Foster bridge is an electrical circuit that can be used to measure medium resistances. It works on the same principle as Wheatstone bridge works i.e. operates upon a null indication principle. It was invented by Carey Foster.
Carey Foster Bridge Working
The working of Carey foster bridge is based on the working of Wheatstone bridge. The bridge is shown in figure 1. First of all, resistances X and Y are chosen such that the ratio X/Y is approximately equal to the ratio R/S. Now move the jockey (or sliding contact) on the slide wire to get exact balance (at point c). Let L1 is the distance of sliding contact from point ‘a’ (reference). In second step, the resistances S and R are interchanged and this time the balanced is obtained by sliding the contact at the distance of L2 from point ‘a’ (at point d shown by dotted line).

Assumptions
All the contact resistances and connecting leads is assumed to be negligible.
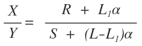
Firstly, balance is obtained at a distance L1 i.e.

where α is the resistance per unit length of the slide wire
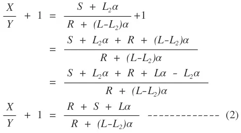
Adding 1 both side in above expression

After exchanging resistances R and S, For the balance, we have,

Adding 1 both side in above expression

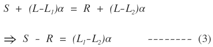
From (1) & (2), we have

From (3), the difference between two resistances S and R is equal to the product of resistance per unit length of the slide wire and the difference between the two slide wire lengths at balance.
Carey Foster Bridge Advantages
The Carey Foster bridge is a modified form of the meter bridge in which the effective length of the wire is considerably increased by connecting a resistance in series with each end of the wire. This increases the accuracy of the bridge.
Carey Foster Bridge Applications
1. This bridge is used for the measurement of medium resistances.
2. This bridge is used for comparison of nearly equal resistances.
3. This bridge can be used for finding the specific resistance of a wire.
