1. Arithmetic Mean

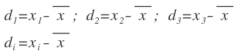
2. Deviation, d

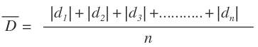
3. Mean or Average deviation

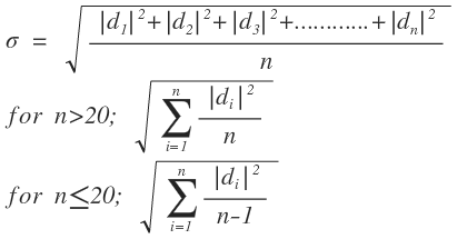
4. Standard deviation, σ

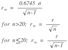
5. Probable Error, r
r = 0.6745 σ
6. Mean probable error, rm

Also

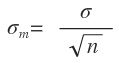
7. Standard deviation of mean

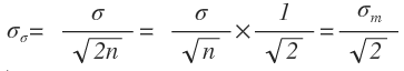
8. Standard deviation of Standard deviation

9. Minimum range of error

10. Maximum range of error

11. Average range of error

12. Variance, V
V = σ2
