Ammeter Shunt is used for the measurement of heavy current using an Ammeter. Ammeter Shunt is basically a low resistance connected in parallel with the moving coil so that most of the current is bypassed by the Shunt and hence only a small current flows through the moving coil.
Why do we need Ammeter Shunt for Measuring High Current?
The basic movement of DC Ammeter is a PMMC Instrument. The coil winding of PMMC Instrument is small and light and is only designed to carry very low current since the construction of an accurate instrument with moving the coil to carry current more than 100 mA is not feasible as bulk and weight of coil would be required. Thus if we simply connect the Ammeter for measuring higher current then a flow of current through the moving coil will be much more than the for which it is designed and will burn.
Ammeter Shunt Material
The basic requirement for Ammeter Shunt can be summarized as
- The resistance of shunt should not vary with time.
- They should carry current without an excessive rise in temperature.
- They should have a low thermal electromotive force with copper.
Well, Manganin is generally used for Shunt of DC Instruments as it gives low value of thermal emf with copper although it is liable to corrosion and difficult to solder. Constantan is used for AC circuit.
Calculation of Ammeter Shunt
Let us assume that we want to measure a current of I while moving coil of Ammeter is only designed to carry a current of Im (full-scale deflection current), therefore we need to use ammeter shunt. We will calculate the value of suitable shunt. The fig. 1 shows the basic circuit of an ammeter.

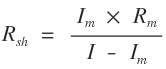
In the fig. 1, ammeter shunt resistance Rsh is connected in parallel with the moving coil (Resistance of moving coil is assumed to be Rm).
Therefore, Ish x Rsh = Im x Rm
………………… (1)
But Ish = I – Im
Therefore from equation (1), we can write as

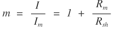
Dividing Numerator and Denominator by Im,

Here, the ratio of total current to be measured to the current in moving coil i.e. (I/Im) is called Multiplying Power of Ammeter Shunt.
Therefore,
Multiplying Power, m = I/Im

Resistance of Ammeter Shunt,


Very nice notes sir/madam.
Please add questions related to current shunt. Notes are to the point and easy to understand. Thanks.