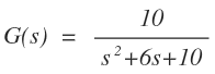
Q. The open-loop transfer function of a unity feedback control system is given by

Find error coefficients (a). Kp (b). Kv (c). Ka
Program
% program for calculation of error coefficients % provided by electricalvoice.com clc clear all numg=10 deng=[1 6 10] %step input %calculation of error coefficient kp G=tf(numg, deng) kp=dcgain(G) Ess=1/(1+kp) %ramp input %calculation of error coefficient kv numsg=conv([1 0], numg) densg=[1 6 10] sG=tf(numsg, densg) kv=dcgain(sG) ess=1/kv %parabolic input %calculation of error coefficient ka nums2g=conv([1 0 0], numg) dens2g=[1 6 10] s2G=tf(nums2g, dens2g) ka=dcgain(s2G) ess=1/ka pause
					